Filmes do Sonic não seguirão a cronologia dos jogos e novo personagem aparecerá
Em entrevista a IGN, Jeff Fowler, diretor dos filmes do Sonic, comentou que os filmes não seguirão necessariamente a mesma cronologia dos jogos e que um novo personagem será revelado no filme, de forma semelhante ao Tails no primeiro filme:

“Não será sempre uma progressão linear do tipo, ‘Ah, isso aconteceu no Sonic 2, então acontecerá no segundo filme do Sonic.’. Será um pouco daqui com um pouco dali. Existem tantas coisas incríveis para se usar desses 30 anos da franquia Sonic. Então, mesmo que algo não tenha acontecido em um filme, existe a chance de acontecer no próximo.”
Prova disso é que mesmo o segundo filme sendo baseado nos Sonic 2 e 3, existe aquela parte do templo que é claramente inspirada na Labyrinth Zone do Sonic 1, algo que não coube no primeiro filme.
Fonte: Sonic Stadium
Mais um trailer do filme do Sonic
Desta vez com algumas rápidas entrevistas com os dubladores americanos. Confiram:
Música tema do segundo filme do Sonic
Durante esta madrugada, a música tema do segundo filme do Sonic foi lançada. Kid Cudi – Stars in the Sky, confiram:
Confiram o TailsTube episódio 1
E finalmente saiu o primeiro episódio do show do Tails V-tuber, confiram:
XBox está lançando controles peludos para o filme do Sonic
É isso mesmo que você está vendo, controles peludinhos tematizados para o segundo filme do Sonic. Junto também tem uma versão customizada do Series S.
E tem mais, se você seguir ou retweetar a #XboxSonic2Sweepstakes, você pode ganhar um desses, mas somente se morar em uma das regiões onde a XBox Live existe e tiver mais de 18 anos. Você pode conferir a lista aqui. Essa promoção vai até o dia 4 de Abril.
We might need glasses because these controllers look fuzzy.
Follow and RT with #XboxSonic2Sweepstakes for a chance to win a Sonic 2 Xbox Series S Custom Console and Controllers.
Age 18+. Ends 4/4/22. Rules: https://t.co/1HyrgKotoz pic.twitter.com/V7VjKYTwf8
— Xbox (@Xbox) March 22, 2022
Tails ganhará V-Tuber show no Youtube
A SEGA está lançando um show apresentado pelo próprio Tails, em formato de V-Tuber, no Youtube, onde ele responderá a perguntas dos fãs e falará mais sobre ele e seus amigos.
Por enquanto temos apenas o anúncio, o primeiro episódio sairá semana que vem:
Trailer final do segundo filme do Sonic!
E temos o “trailer final” do segundo filme do Sonic:

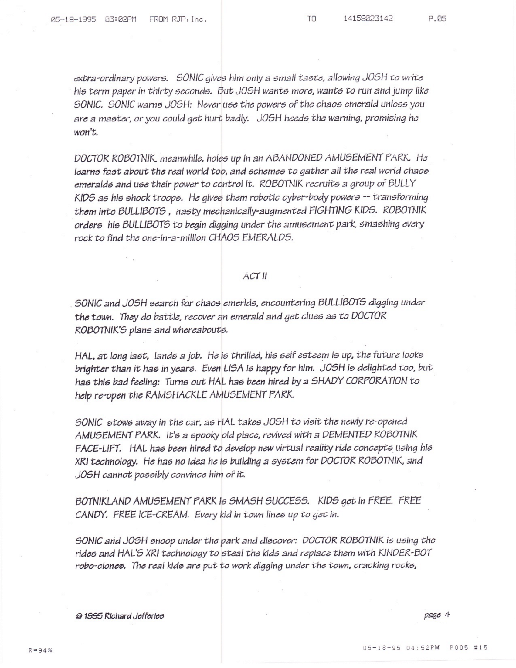
Surge script do filme do Sonic que nunca foi produzido nos anos 90
Fazia tempo que uma relíquia do passado não aparecia, mas finalmente aconteceu.
Graças a conta do Twitter do SatAM History, agora temos a história original do filme Sonic Wonders of the World, que deveria ter sido produzido nos anos 90, mas nunca aconteceu. De acordo com a conta, Michealene Risley, foi a responsável por entregar tal achado, escrito por Richard Jefferies, e sem nenhuma edição.
De acordo com Pen Densham, co fundador da Trilogy Entertainment, empresa a qual a SEGA fez o acordo para a produção do filme, junto da Metro-Goldwyn-Mayer, o filme nun
ca teve um roteiro completo.
Densham também disse que a Trilogy se retirou do projeto devido a insistência da SEGA em manter a história de origem do personagem, que seria uma reencarnação de um aviador morto, e ele não acreditava que a ideia daria certo.
Segundo a Michealene, o filme não seria baseado no Sonic SatAM, pois a série era para um público mais infantil, e para fazer um filme dessa magnitude e com o investimento, ele teria que ser voltado para um público mais geral. De forma semelhante com o que acontece com uma adaptação de quadrinhos para o cinema.
Hey, you guys wanna see something really cool?
Earlier today, Michealene Risley sent me the full unedited story treatment by Richard Jefferies for the cancelled 90s live action Sonic film "Sonic Wonders of the World"! She was kind enough to let me share the entirety of it! pic.twitter.com/zYaw0zI7mP
— The Complete History of Sonic SatAM (@SatamHistorian) March 8, 2022























